ニコチンアミドアデニンジヌクレオチドリン酸とは コトバンク
ニコチンアミドアデニンジヌクレオチドリン酸 Wikipedia
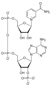
ニコチンアミドアデニンジヌクレオチド Wikipedia
Niasin
2646 71 1 ニコチンアミドアデニンジヌクレオチドりん酸還元型 B Nadph Nicotinamide Adenine Dinucleotide Phosphate Reduced Form B Nadph 305 50473 303 50474 309 50471 詳細情報 医薬品 製造 品質管理 ライフサイエンス 試薬 富士フイルム和光純薬
B Nadph ニコチンアミドアデニンジヌクレオチドりん酸 還元型 オリエンタル酵母工業 株 バイオ事業本部
ニコチンアミドアデニンジヌクレオチドとは コトバンク
B ニコチンアミドアデニンジヌクレオチドりん酸四ナトリウム 還元型 2646 71 1
B ニコチンアミドアデニンジヌクレオチドリン酸 還元型 テトラ シクロヘキシルアンモニウム 塩 100929 71 3
健康食品 の安全性 有効性情報
Nad と Nadp
2018 506285号 ニコチンアミドアデニンジヌクレオチドを検出するためのセンサー 方法及びキット Astamuse
1184 16 3 ニコチンアミドアデニンジヌクレオチドりん酸酸化型 B Nadp Nicotinamide Adenine Dinucleotide Phosphate Oxidized Form B Nadp 308 50463 306 50464 302 50466 302 50461 詳細情報 ライフサイエンス 試薬 富士フイルム和光純薬
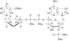
24292 60 2 B ニコチンアミドアデニンジヌクレオチドりん酸二ナトリウム塩 Beta Nicotinamide Adenine Dinucleotide Phosphate Disodium Salt 598 08171 592 08174 598 08176 詳細情報 試薬 富士フイルム和光純薬
Nad